树的计数问题:具有n个结点的不同形态的树共有多少棵。即具有n个结点、互不相似的二叉树的数目bn。
二叉树的相似:两棵都为空树或者两棵都不是空树,而且它们的左右子树分别相似。
二叉树的等价:两者不仅相似,而且对应结点上的元素均相同。
二叉树在bn较小的时候形态和计数如下:
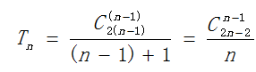
经过书上复杂的推导,含有n个结点的互不相似的二叉树个数为:
如果推广一下,不是二叉树而是树,则:
具有n个结点的互不相似的树的个数为tn = bn-1
即:
关于给定先/中/后序构造二叉树的问题:
前序+中序,可以唯一确定一棵二叉树。
后序+中序,可以唯一确定一棵二叉树。
先序+后序,不能唯一确定一棵二叉树。


